积分梳状滤波器(CIC,Cascaded Integrator Comb),一般用于数字下变频(DDC)和数字上变频(DUC)系统。CIC 滤波器结构简单,没有乘法器,只有加法器、积分器和寄存器,资源消耗少,运算速率高,可实现高速滤波,常用在输入采样率最高的第一级,在多速率信号处理系统中具有着广泛应用。
DDC 原理
DDC 工作原理
DDC 主要由本地振荡器(NCO) 、混频器、滤波器等组成,如下图所示。

DDC 将中频信号与振荡器产生的载波信号进行混频,信号中心频率被搬移,再经过抽取滤波,恢复原始信号,实现了下变频功能。
中频数据采样时,需要很高的采样频率来确保 ADC(模数转换器)采集到信号的信噪比。经过数字下变频后,得到的基带信号采样频率仍然是 ADC 采样频率,所以数据率很高。此时基带信号的有效带宽往往已经远小于采样频率,所以利用抽取、滤波进行数据速率的转换,使采样率降低,避免资源的浪费和设计的困难,就成为 DDC 不可缺少的一部分。
而采用 CIC 滤波器进行数据处理,是 DDC 抽取滤波部分最常用的方法。
带通采样定理
在 DDC 系统中,输入的中频载波信号会根据载波频率进行频移,得到一个带通信号。如果此时仍然采用奈奎斯特采样定理,即采样频率为带通信号最高频率的两倍,那么此时所需的采样频率将会很高,设计会变的复杂。此时可按照带通采样定理来确定抽样频率。
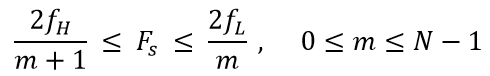
带通采样定理:一个频带限制在
的连续带通信号,带宽为
。令
,其中 N 为不大于
的最大正整数,如果采样频率满足条件:

则该信号完全可以由其采样值无失真的重建。
当 m=1 时,带通采样定理便是奈奎斯特采样定理。
带通采样定理的另一种描述方式为:若信号最高频率为信号带宽的整数倍,采样频率只需大于信号带宽的两倍即可,此时不会发生频谱混叠。
所以,可以认为采样频率的一半是 CIC 滤波器的截止频率。
DDC 频谱搬移
例如一个带宽信号中心频率为 60MHz,带宽为 8MHz, 则频率范围为 56MHz ~ 64MHz,m 的可取值范围为 0 ~ 7。取 m=1, 则采样频率范围为 64MHz ~ 112MHz。
取采样频率为 80MHz,设 NCO 中心频率为 20 MHz,下面讨论复信号频谱搬移示意图。
(1)考虑频谱的对称性,输入复信号的频谱示意图如下:

(2)80MHz 采样频率采样后,56~64MHz 的频带被搬移到了 -24~ -16MHz 与 136 ~ 144MHz(高于采样频率被滤除)的频带处,-64~ -56MHz 的频带被搬移到 -144~ -136MHz(高于采样频率被滤除)与 16~24MHz 的频带处。
采样后频带分布如下:

(3)信号经过 20MHz NCO 的正交电路后, -24~ -16MHz 的频带被搬移到 -4~4MHz 与 -44~ -36MHz 的频带处,16~24MHz 的频带被搬移到 -4~4MHz 与 36~44MHz 的频带处,如下所示。

(4)此时中频输入的信号已经被搬移到零中频基带处。
-44~ -36MHz 和 36~44MHz 的带宽信号是不需要的,可以滤除;-4~4MHz 的零中频信号数据速率仍然是 80MHz,可以进行抽取降低数据速率。而 CIC 滤波,就是要完成这个过程。
上述复习了很多数字信号处理的内容,权当抛 DDC 的砖,引 CIC 的玉。
CIC 滤波器原理
单级 CIC 滤波器
设滤波器抽取倍数为 D,则单级滤波器的冲激响应为:

对其进行 z 变换,可得单级 CIC 滤波器的系统函数为:

令

可以看出,单级 CIC 滤波器包括两个基本组成部分:积分部分和梳状部分,结构图如下:

积分器
积分器是一个单级点的 IIR(Infinite Impulse Response,无限长脉冲冲激响应)滤波器,且反馈系数为 1,其状态方程和系统函数分别为:


梳状器
梳状器是一个 FIR 滤波器,其状态方程和系统函数分别为:


抽取器
在积分器之后,还有一个抽取器,抽取倍数与梳状器的延时参数是一致的。利用 z 变换的性质进行恒等变换,将抽取器移动到积分器与梳状器之间,可得到单级 CIC 滤波器结构,如下所示。

参数说明
CIC 滤波器结构变换之前的参数 D 可以理解为梳状滤波器的延时或阶数;变换之后,D 的含义 变为抽取倍数,而此时梳状滤波器的延时为 1,即阶数为 1。
很多学者会引入一个变量 M,表示梳状器每一级的延时,此时梳妆部分的延时就不为 1 了。那么梳状器的系统函数就变为:

其实把 DM 整体理解为单级滤波器延时,或者抽取倍数,也都是可以的。可能实现的方式或结构不同,但是最后的结果都是一样的。本次设计中,单级滤波器延时都为 M=1,即抽取倍数与滤波延时相同。
多级 CIC 滤波器
单级 CIC 滤波器的阻带衰减较差,为了提高滤波效果,抽取滤波时往往会采用多级 CIC 滤波器级联的结构。
实现多级直接级联的 CIC 滤波器在设计和资源上并不是最优的方式,需要对其结构进行调整。如下所示,将积分器和梳状滤波器分别移至一组,并将抽取器移到梳状滤波器之前。先抽取再进行滤波,可以减少数据处理的长度,节约硬件资源。

当然,级联数越大,旁瓣抑制越好,但是通带内的平坦度也会变差。所以级联数不宜过多,一般最多 5 级。
CIC 滤波器设计
设计说明
CIC 滤波器本质上就是一个简单的低通滤波器,截止频率为采样频率除以抽取倍数后的一半。输入数据信号仍然是 7.5MHz 和 250KHz,采样频率 50MHz。抽取倍数设置为 5,则截止频率为 5MHz,小于 7.5MHz,可以滤除 7.5MHz 的频率成分。设计参数如下:
输入频率: 7.5MHz 和 250KHz 采样频率: 50MHz 阻带: 5MHz 阶数: 1(M=1) 级数: 3(N=3)
关于积分时中间数据信号的位宽,很多地方给出了不同的计算方式,计算结果也大相径庭。这里总结一下使用最多的计算方式:

其中,D 为抽取倍数,M 为滤波器阶数,N 为滤波器级数。抽取倍数为 5,滤波器阶数为 1,滤波器级联数为 3,取输入信号数据位宽为 12bit,对数部分向上取整,则积分后数据不溢出的中间信号位宽为 21bit。
为了更加宽裕的设计,滤波器阶数如果理解为未变换结构前的多级 CIC 滤波器直接型结构,则滤波器阶数可以认为是 5,此时中间信号最大位宽为 27bit。
积分器设计
根据输入数据的有效信号的控制,积分器做一个简单的累加即可,注意数据位宽。
实例
module integrator
#(parameter NIN = 12,
parameter NOUT = 21)
(
input clk ,
input rstn ,
input en ,
input [NIN-1:0] din ,
output valid ,
output [NOUT-1:0] dout) ;
reg [NOUT-1:0] int_d0 ;
reg [NOUT-1:0] int_d1 ;
reg [NOUT-1:0] int_d2 ;
wire [NOUT-1:0] sxtx = {{(NOUT-NIN){1'b0}}, din} ;
//data input enable delay
reg [2:0] en_r ;
always @(posedge clk or negedge rstn) begin
if (!rstn) begin
en_r <= 'b0 ;
end
else begin
en_r <= {en_r[1:0], en};
end
end
//integrator
//stage1
always @(posedge clk or negedge rstn) begin
if (!rstn) begin
int_d0 <= 'b0 ;
end
else if (en) begin
int_d0 <= int_d0 + sxtx ;
end
end
//stage2
always @(posedge clk or negedge rstn) begin
if (!rstn) begin
int_d1 <= 'b0 ;
end
else if (en_r[0]) begin
int_d1 <= int_d1 + int_d0 ;
end
end
//stage3
always @(posedge clk or negedge rstn) begin
if (!rstn) begin
int_d2 <= 'b0 ;
end
else if (en_r[1]) begin
int_d2 <= int_d2 + int_d1 ;
end
end
assign dout = int_d2 ;
assign valid = en_r[2];
endmodule
抽取器设计
抽取器设计时,对积分器输出的数据进行计数,然后间隔 5 个数据进行抽取即可。
实例
#(parameter NDEC = 21)
(
input clk,
input rstn,
input en,
input [NDEC-1:0] din,
output valid,
output [NDEC-1:0] dout);
reg valid_r ;
reg [2:0] cnt ;
reg [NDEC-1:0] dout_r ;
//counter
always @(posedge clk or negedge rstn) begin
if (!rstn) begin
cnt <= 3'b0;
end
else if (en) begin
if (cnt==4) begin
cnt <= 'b0 ;
end
else begin
cnt <= cnt + 1'b1 ;
end
end
end
//data, valid
always @(posedge clk or negedge rstn) begin
if (!rstn) begin
valid_r <= 1'b0 ;
dout_r <= 'b0 ;
end
else if (en) begin
if (cnt==4) begin
valid_r <= 1'b1 ;
dout_r <= din;
end
else begin
valid_r <= 1'b0 ;
end
end
end
assign dout = dout_r ;
assign valid = valid_r ;
endmodule
梳状器设计
梳状滤波器就是简单的一阶 FIR 滤波器,每一级的 FIR 滤波器对数据进行一个时钟延时,然后做相减即可。因为系数为 ±1,所以不需要乘法器。
实例
#(parameter NIN = 21,
parameter NOUT = 17)
(
input clk,
input rstn,
input en,
input [NIN-1:0] din,
input valid,
output [NOUT-1:0] dout);
//en delay
reg [5:0] en_r ;
always @(posedge clk or negedge rstn) begin
if (!rstn) begin
en_r <= 'b0 ;
end
else if (en) begin
en_r <= {en_r[5:0], en} ;
end
end
reg [NOUT-1:0] d1, d1_d, d2, d2_d, d3, d3_d ;
//stage 1, as fir filter, shift and add(sub),
//no need for multiplier
always @(posedge clk or negedge rstn) begin
if (!rstn) d1 <= 'b0 ;
else if (en) d1 <= din ;
end
always @(posedge clk or negedge rstn) begin
if (!rstn) d1_d <= 'b0 ;
else if (en) d1_d <= d1 ;
end
wire [NOUT-1:0] s1_out = d1 - d1_d ;
//stage 2
always @(posedge clk or negedge rstn) begin
if (!rstn) d2 <= 'b0 ;
else if (en) d2 <= s1_out ;
end
always @(posedge clk or negedge rstn) begin
if (!rstn) d2_d <= 'b0 ;
else if (en) d2_d <= d2 ;
end
wire [NOUT-1:0] s2_out = d2 - d2_d ;
//stage 3
always @(posedge clk or negedge rstn) begin
if (!rstn) d3 <= 'b0 ;
else if (en) d3 <= s2_out ;
end
always @(posedge clk or negedge rstn) begin
if (!rstn) d3_d <= 'b0 ;
else if (en) d3_d <= d3 ;
end
wire [NOUT-1:0] s3_out = d3 - d3_d ;
//tap the output data for better display
reg [NOUT-1:0] dout_r ;
reg valid_r ;
always @(posedge clk or negedge rstn) begin
if (!rstn) begin
dout_r <= 'b0 ;
valid_r <= 'b0 ;
end
else if (en) begin
dout_r <= s3_out ;
valid_r <= 1'b1 ;
end
else begin
valid_r <= 1'b0 ;
end
end
assign dout = dout_r ;
assign valid = valid_r ;
endmodule
顶层例化
按信号的流向将积分器、抽取器、梳状器分别例化,即可组成最后的 CIC 滤波器模块。
梳状滤波器的最终输出位宽一般会比输入信号小一些,这里取 17bit。当然输出位宽完全可以与输入数据的位宽一致。
实例
#(parameter NIN = 12,
parameter NMAX = 21,
parameter NOUT = 17)
(
input clk,
input rstn,
input en,
input [NIN-1:0] din,
input valid,
output [NOUT-1:0] dout);
wire [NMAX-1:0] itg_out ;
wire [NMAX-1:0] dec_out ;
wire [1:0] en_r ;
integrator #(.NIN(NIN), .NOUT(NMAX))
u_integrator (
.clk (clk),
.rstn (rstn),
.en (en),
.din (din),
.valid (en_r[0]),
.dout (itg_out));
decimation #(.NDEC(NMAX))
u_decimator (
.clk (clk),
.rstn (rstn),
.en (en_r[0]),
.din (itg_out),
.dout (dec_out),
.valid (en_r[1]));
comb #(.NIN(NMAX), .NOUT(NOUT))
u_comb (
.clk (clk),
.rstn (rstn),
.en (en_r[1]),
.din (dec_out),
.valid (valid),
.dout (dout));
endmodule
testbench
testbench 编写如下,主要功能就是不间断连续的输入 250KHz 与 7.5MHz 的正弦波混合信号数据。输入的混合信号数据也可由 matlab 生成,具体过程参考《并行 FIR 滤波器设计》一节。
实例
parameter NIN = 12 ;
parameter NMAX = 21 ;
parameter NOUT = NMAX ;
reg clk ;
reg rstn ;
reg en ;
reg [NIN-1:0] din ;
wire valid ;
wire [NOUT-1:0] dout ;
//=====================================
// 50MHz clk generating
localparam T50M_HALF = 10000;
initial begin
clk = 1'b0 ;
forever begin
# T50M_HALF clk = ~clk ;
end
end
//============================
// reset and finish
initial begin
rstn = 1'b0 ;
# 30 ;
rstn = 1'b1 ;
# (T50M_HALF * 2 * 2000) ;
$finish ;
end
//=======================================
// read cos data into register
parameter SIN_DATA_NUM = 200 ;
reg [NIN-1:0] stimulus [0: SIN_DATA_NUM-1] ;
integer i ;
initial begin
$readmemh("../tb/cosx0p25m7p5m12bit.txt", stimulus) ;
i = 0 ;
en = 0 ;
din = 0 ;
# 200 ;
forever begin
@(negedge clk) begin
en = 1 ;
din = stimulus[i] ;
if (i == SIN_DATA_NUM-1) begin
i = 0 ;
end
else begin
i = i + 1 ;
end
end
end
end
cic #(.NIN(NIN), .NMAX(NMAX), .NOUT(NOUT))
u_cic (
.clk (clk),
.rstn (rstn),
.en (en),
.din (din),
.valid (valid),
.dout (dout));
endmodule // test
仿真结果
由下图仿真结果可知,经过 CIC 滤波器后的信号只有一种低频率信号(250KHz),高频信号(7.5MHz)被滤除了。
但是波形不是非常完美,这与设计的截止频率、数据不是持续输出等有一定关系。
此时发现,积分器输出的数据信号也非常的不规则,这与其位宽有关系。

为了更好的观察积分器输出的数据,将其位宽由 21bit 改为 34bit,仿真结果如下。
此时发现,CIC 滤波器的数据输出并没有实质性的变化,但是积分器输出的数据信号呈现锯齿状,也称之为梳状。这也是梳状滤波器名字的由来。
